Page 36
Image 36
Ask Proxima DP5950 manual

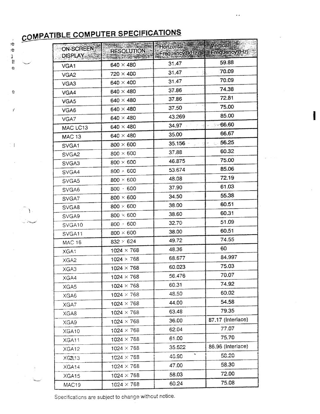
DP5950 specifications

The Ask Proxima DP5950 is a versatile digital projector designed for various applications, including educational environments, corporate meetings, and multimedia presentations. This model stands out due to its high brightness, excellent image quality, and user-friendly operation, making it a popular choice among users looking for reliability and performance.

One of the most notable features of the DP5950 is its impressive brightness level, reaching up to 5,000 ANSI lumens. This high luminosity allows the projector to deliver clear, vivid images in well-lit rooms without compromising visibility. The projector's high contrast ratio enhances the depth of colors, resulting in sharp and dynamic visuals that capture audience attention.

The DP5950 utilizes advanced DLP (Digital Light Processing) technology, which contributes to its exceptional image clarity and stability. DLP technology is known for producing consistent colors and providing a smooth viewing experience. Additionally, the projector supports a variety of resolutions, including Full HD 1080p, ensuring compatibility with various media formats and sources.

Connectivity is a strength of the Ask Proxima DP5950, featuring multiple input options such as HDMI, VGA, and USB. This expansive range enables seamless integration with laptops, desktop computers, and other multimedia devices, facilitating versatile presentation setups. The projector also includes a built-in speaker, providing adequate audio output for smaller gatherings without the need for external sound systems.

Another key feature is the projector's portability. With a lightweight design and compact form factor, the DP5950 is easy to transport between different locations, making it ideal for traveling professionals and educators. The straightforward setup and intuitive controls allow users to start presentations quickly, minimizing downtime.

The DP5950 is also designed with user maintenance in mind, featuring a long-lasting lamp life of up to 6,000 hours in economy mode. This longevity helps reduce operational costs, making it a cost-effective solution for those who require frequent use of a projector. Additionally, the device supports various projection modes, including front, rear, and ceiling mount, providing flexibility for different installation environments.

In conclusion, the Ask Proxima DP5950 brings together high brightness, advanced DLP technology, versatile connectivity options, and user-friendly features, making it an excellent choice for professionals and educators alike. Its robust performance, combined with portability and ease of maintenance, positions it as a reliable tool for delivering impactful presentations and engaging multimedia experiences.