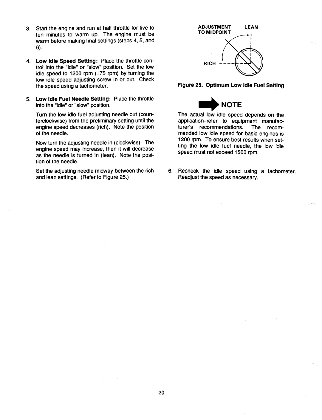
Page 22
Image 22
Cub Cadet 1330, 1325 manual

1325, 1330 specifications

The Cub Cadet 1330 and 1325 lawn tractors represent a blend of power, versatility, and performance, making them ideal for residential lawn care and landscaping tasks. Designed for homeowners who value efficiency and durability, these machines come equipped with several noteworthy features and technologies that elevate their functionality.

At the heart of both models is a robust engine designed to deliver impressive power and torque. The 1330 is powered by a reliable Kohler 7000 Series engine, while the 1325 features a dependable 22 HP engine. These engines provide exceptional performance, enabling users to tackle even the toughest mowing conditions with ease. The Hydrostatic transmission on both models allows for smooth and seamless speed adjustments, offering a superior driving experience without the hassle of shifting gears.

One of the standout characteristics of the Cub Cadet 1330 and 1325 is their cutting deck design. Both models are equipped with a 30-inch cutting deck that features advanced technologies for optimal grass cutting. The signature Tri-Action cutting system ensures clean and efficient cuts, while the adjustable cutting heights allow users to customize their mowing experience to suit their lawn care needs.

Comfort is paramount in the design of these tractors. The operator's seat is ergonomically designed to provide maximum support and comfort during long mowing sessions. Additionally, the convenient placement of controls enhances user experience, enabling operators to easily adjust settings without taking their hands off the steering wheel.

The Cub Cadet 1330 and 1325 are also renowned for their ease of maintenance. The integrated washout port simplifies deck cleaning, ensuring that the cutting performance remains optimal. Furthermore, both models feature easily accessible service points, making routine maintenance tasks less cumbersome.

In terms of durability, these lawn tractors are built with high-quality materials and components, ensuring they can withstand the rigors of regular use. The steel frame provides excellent stability and longevity, making them a sound investment for those looking to maintain their yards for years to come.

In conclusion, the Cub Cadet 1330 and 1325 lawn tractors are exemplary models that bring together power, comfort, and innovation. With their advanced engine technology, comfortable designs, and user-friendly features, these tractors are well-suited for homeowners seeking reliable and efficient lawn care solutions. Whether tackling large lawns or maintaining smaller gardens, both models offer the performance and dependability that Cub Cadet is known for.