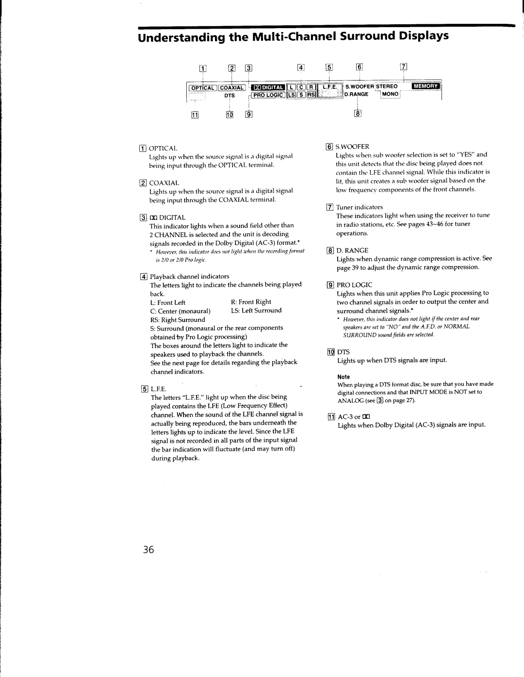
Page 33
Image 33
Sony STR-DB930, STR-DB830 manual

STR-DB930, STR-DB830 specifications

The Sony STR-DB830 and STR-DB930 are revered models in Sony's lineup of mid-range audio/video receivers, celebrated for their blend of advanced technology, solid performance, and user-friendly design. These receivers, often regarded for their sound quality and versatility, are ideal for both home theater enthusiasts and casual listeners alike.

Starting with the STR-DB830, it showcases a comprehensive set of features aimed at delivering an immersive audio experience. The receiver supports a total of 5.1 channels, enabling users to enjoy surround sound formats that enhance movie watching and music listening. Equipped with Dolby Digital and DTS decoding, the STR-DB830 provides a robust audio output, ensuring that soundtracks come to life with clarity and depth.

The STR-DB930 builds upon this solid foundation, introducing enhanced processing capabilities and a more robust power output, ensuring that every audio detail is faithfully reproduced. It supports not only the basic Dolby and DTS standards but also newer formats like Dolby Pro Logic II, which allows for the upmixing of stereo sources to surround sound.

Both models feature a multi-room capability, allowing users to distribute audio in different areas of the home, creating a versatile listening environment. This is complemented by a wide range of inputs, including optical and coaxial digital audio connections, making it easy to integrate with various devices such as CD players, gaming consoles, and DVD players.

Another notable characteristic is the inclusion of an Auto Calibration feature, which analyzes the acoustics and automatically adjusts the speaker settings for optimal performance. This ensures the best possible sound experience tailored to the unique layout of the listener’s room.

In terms of design, these receivers boast a sleek and classic aesthetic, with intuitive controls that simplify operation. The built-in tuner supports AM, FM, and even RDS functionality, allowing users to enjoy a variety of radio stations with ease.

With robust power ratings, the STR-DB830 and STR-DB930 effectively drive a range of speaker setups while maintaining low distortion levels. Their versatility and user-friendly features make them standout options for anyone looking to enhance their home audio systems, delivering impressive performance and quality sound without overwhelming complexity. The combination of state-of-the-art technology and thoughtful design has solidified Sony's reputation in the audio world, making these receivers a favorite among audiophiles and casual listeners alike.