Page 129
Image 129
Tektronix CSA 803A manual

CSA 803A specifications

The Tektronix 11801B and CSA 803A are high-performance oscilloscopes renowned for their advanced features that cater to the demands of modern electronic testing and analysis. The 11801B is a versatile digital oscilloscope that excels in the measurement of high-speed signals, making it an ideal choice for researchers and engineers working with complex electronic systems.

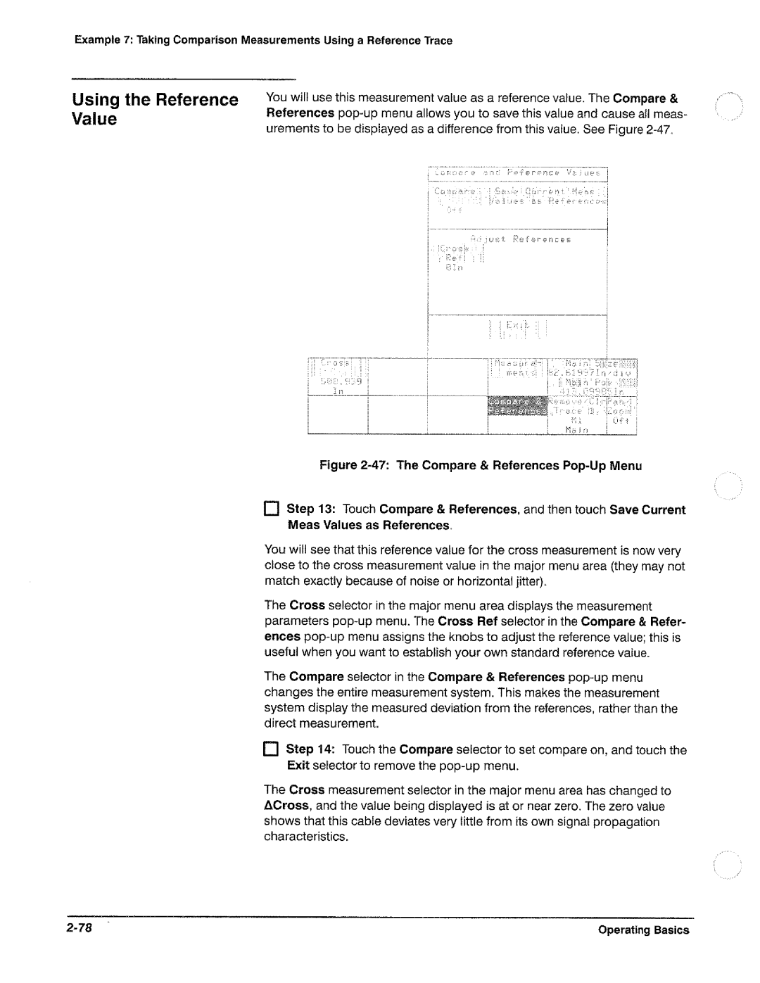
One of the main features of the Tektronix 11801B is its bandwidth capacity, which reaches up to 20 GHz, enabling it to accurately capture and analyze fast signal transitions. Its sampling rate can go up to 50 GS/s, providing the ability to examine minute details of waveforms. This high bandwidth and sampling rate facilitate the precise evaluation of a wide range of signal types, from digital to analog, ensuring that users can capture and troubleshoot a variety of scenarios.

The CSA 803A complements the 11801B by providing specialized capabilities tailored for communication systems. This model is characterized by its integrated analog and digital measurements, which are essential for evaluating high-speed serial data interfaces. The CSA 803A excels in data communication and compliance testing, incorporating built-in analysis tools that simplify the measurement of jitter, eye diagrams, and bit error rates.

Both instruments incorporate advanced triggering capabilities, allowing users to isolate specific events within complex waveforms. This feature is crucial for troubleshooting and diagnosing signal integrity issues. The oscilloscope's extensive memory depth enables it to capture long acquisition times, providing a comprehensive view of the signal behavior over time.

Technologically, both models benefit from Digital Signal Processing (DSP) which enhances the measurement accuracy and reduces noise interference. This processing capability ensures that users can obtain reliable data for analysis, leading to more informed decisions during the design and debugging processes.

In terms of user interface, the Tektronix 11801B and CSA 803A come equipped with intuitive navigation systems, making it easy to access a range of measurement settings and tools. The clear display allows for easy interpretation of complex waveforms, while customizable settings enable users to tailor their experience to their specific needs.

In conclusion, the Tektronix 11801B and CSA 803A stand as high-caliber tools in the realm of electronic testing. Their robust features, advanced technologies, and user-friendly design make them invaluable assets for engineers and researchers navigating the complexities of modern electronic design and troubleshooting.