
Setting Up Your Switch 37
Figure 27 Web Interface Management over the Network
Switch
Workstation
Connect over Network
via web browser
Refer to “Setting Up Web Interface Management” on page 48.
SNMP Management You can manage a switch using any network management workstation running the Simple Network Management Protocol (SNMP) as shown in Figure 28. For a description of 3Com network management applications refer to “3Com Network Management” on page 63.
Figure 28 SNMP Management over the Network
SNMP Network Management | Switch | |
Workstation | ||
| ||
Connect over Network |
| |
using SNMP |
|
Refer to “Setting Up SNMP Management” on page 49.
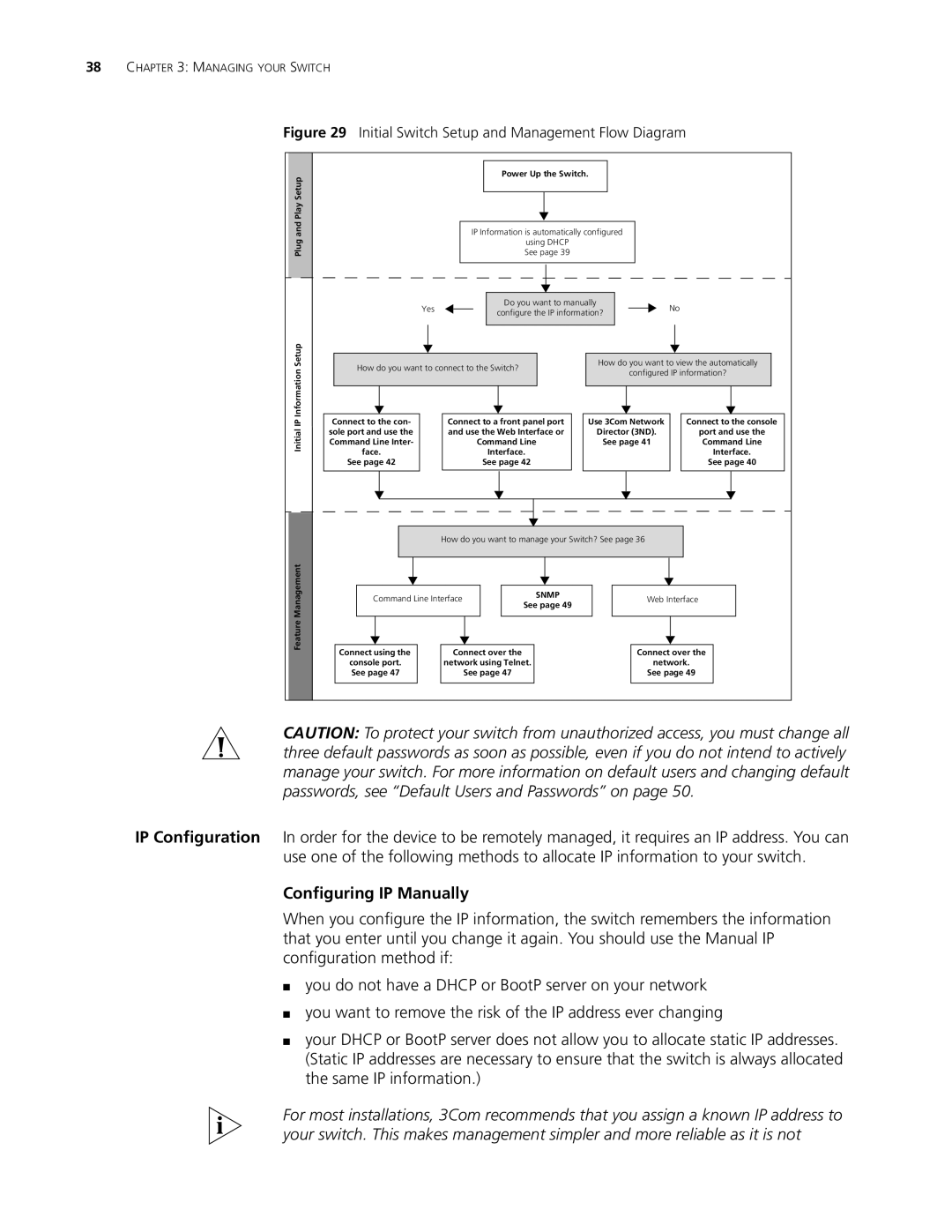
Setting Up Your | This section provides an overview of what you need to do to set up your switch so |
Switch | that you can manage it in its default state. The setup process is summarized in |
| Figure 29. Detailed steps are provided in the sections that follow. In brief, you |
| need to: |
| ■ Configure IP information manually for your switch or view the automatically |
| configured IP information |
| ■ Prepare for your chosen method of management |